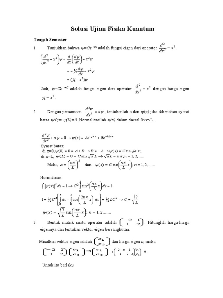
Contoh Soal Fungsi Eigen
Contoh 1 Jika. Contoh 8 Lihat kembali matriks A pada contoh 6.

Algeo 18 Nilai Eigen Dan Vektor Eigen Bagian 1 Youtube
Dalam masalah seperti itu pertama-tama kita menemukan nilai eigen dari matriks.

Contoh soal fungsi eigen. Secara longgar dalam ruang vektor multidimensi vektor eigen tidak diputar. Contoh soal fungsi eigen. Jika fungsi ψi adalah sebuah fungsi eigen untuk operator itu.
Berikut adalah 2 contoh soal bagaimana menentukan nilai dan vektor Eigen suatu matriks. Operator turunan ini juga memiliki nilai eigen dan vektor atau fungsi eigen yaitu nilai dan fungsi sedemikian sehingga. Dari contoh di atas dapat dilihat bahwa rank dari matriks A adalah 2 eigenvalue yang tidak sama dengan nol ada 2 Bila salah satu eigenvalue 0 maka rank A n-1 Bila rank A n disebut full rank maka A adalah matriks non_singular bisa dibuktikan dengan determinan A tidak sama dengan 0 dan vektor-vektornya disebut linearly independent berdiri sendiribukan kelipatan.
Persamaan Schrödinger melibatkan energi tertentu E i dan fungsi spesifik ψi yang menggambarkan keadaan energi itu. Sebagai contoh saya mendefinisikan operator adalah operator turunan dengan domain dan kodomain fungsi satu variabel yang terdiferensialkan tak berhingga kali. Fungsi invers terjadi karena suatu fungsi dan.
Nilai eigen qi bisa saja. Koleksi Contoh Soal Fungsi Eigen Lengkap. λλλλ2I A x2 0 1 I A x2 0.
Temukan eigen dan vektor eigen dari matriks tersebut. Jika kita akan mendapatkan. Berikut adalah 2 contoh soal bagaimana menentukan nilai dan vektor eigen suatu matriks.
Dari contoh soal 6 telah diperoleh bahwa eigen value dari matriks A adalah 1 dan 2. Dari soal terdahulu A 3 0 λλλ1 3 λλλλ2 1 8 1 eigenvector x 2. Vektor Ax merupakan perkalian skalar dari x dengan eigenvalue nya sehingga panjang dari vektor Ax x.
Semua anggota himpunan a merupakan daerah asal disebut domain sedangkan semua anggota himpunan b merupakan daerah contoh soal 1. Contoh Soal dan Pembahasan. Dari soal terdahulu A 3 0 λλλ1 3 λλλλ2 1 8 1 eigenvector x 1.
Dari matriks segitiga atas tentukan eigenvalue dan eigenvektornya. Nilai eigen dan keterbalikan invers Teorema. Berikut adalah 2 contoh soal bagaimana menentukan nilai dan vektor Eigen suatu matriks.
Di sisi lain jelas bahwa nilai eigen dari matriks nol adalah 0 sehingga. Fungsi Eigen dari Operator Laguerre Derivative Bentuk umum dariLaguerre derivative yaitu DLDxD d dxx d dx DxD 2. 1 menentukan persamaan diferensial parsial 2 menentukan syarat-syarat batas 3 memisahkan variabel atau peubah 4 menentukan masalah nilai eigen 5 menentukan nilai eigen 6 menentukan fungsi eigen dan 7 menentukan solusi persamaan diferensial parsial.
Adapun dengan menggunakan langkah-langkah penyelesaian adalah sebagai berikut. Y m Y m 885 Kedua fungsi eigen yang akan kita tentukan adalah fungsi eigen yang ternomalisasi yaitu. Untuk setiapn bilangan bulat positif fungsi eksponensial nLaguerre didefinisikan sebagai berikut 3.
Pada postingan kali ini saya akan membahas tentang eigen nah bagi yang tidak mengetahui atau baru mengenal eigen Nilai Eigen itu adalah nilai karakteristik dari suatu matriks berukuran n x n. Eigen value λ-1 dan eigen vektor x. Nilai tertentu bisa didapatkan pada parameter fisik misalnya energi harus beroperasi pada fungsi gelombang dengan.
2 Y m dr 1 886 seluruh ruang Persamaan nilai eigen untuk operator LZ diungkapkan oleh Y m imY m 887. 8Fungsie1axadalah fungsi eigen dari operator Laguerre. Nilai eigen berasal dari bahasa Jerman Eigenwert.
Secara longgar dalam ruang vektor multidimensi vektor eigen tidak diputar. Dengan menggunakan teorema 5 maka 27 128 dan 17 1 merupakan eigen value dari A7. Dari soal terdahulu A 3 0 λλλ1 3 λλλλ2 1 8 1 eigenvector x 1.
Tentukan eigenvalue dan eigenvektor dari A7. Maka berdasarkan Teorema nilai eigen dari A 3adalah 1 2 3 8 dan 2 3 33 27 dengan vektor eigen sama seperti pada contoh 2. Contoh soal nilai eigen dan vektor eigen contoh soal nilai eigen dan vektor eigen 2x2 contoh soal nilai eigen dan vektor eigen 3x3.
Penggunaan Interpolasi Hermite Kubik Dalam Penyelesaian Persamaan Sturm Liouville Dengan Metode Elemen Hingga. 92 Contoh Soal Fungsi Eigen Terupdate. Soal dan Pembahasan Matematika Matriks 1.
Contoh soal fungsi matematika dan. Sederhana misalnya jika merupakan eigenvalue dari matriks A yang bersesuaian dengan eigenvektor x. Hal tersebut berarti bahwa fungsi eigen-fungsi eigen dari operator L2 dan LZ dapat dipilih tak bergantung pada r yaitu.
Seperti pada soal sebelumnya saya akan misalkan dahulu bahwa adalah nilai eigen dan x adalah vektor eigen dari matriks A. Nilai eigen dari matriks A berdasarkan contoh 2 adalah 1 2 dan 2 3. L2 m 2 1 m 874 Lˆ z m m m 131 Kedua mencari solusi persamaan.
Selanjutnya dengan memanfaatkan persamaan 1 maka diperoleh 2 2 Ax x A Ax A x A x Ax Ox x Ox x Dari bentuk terakhir yakni 2 Ox x dapat saya katakan bahwa 2 adalah nilai eigen dari matrik nol O. Enx X k0 xk kn1. Yup di post ini saya berharap teman-teman dapat mengerti pembahasan dan contoh soal nilai dan vektor eigen langsung saja.
Halo teman-teman kembali lagi bersama saya di blog sederhana ini. Nilai eigen qi bisa dalam bentuk diskrit dan dalam kasus tersebut kita dapat mengatakan bahwa variabel fisika adalah terkuantisasi serta bahwa indeks i memainkan peran nomor quantum yang mencirikan keadaan itu. Contoh 3 Dapatkan nilai eigen dan vektor eigen dari A3 dengan A seperti contoh 2.
Contoh Soal 1 Dapatkan Vektor Eigen Dari Matriks A 5 3 4 Jawab. Soal Fungsi Matematika SMA. Soal dan Pembahasan Matematika Matriks 1-5 Semoga Bermanfaat.
Setelah eigenvalue λλλk dari matriks A diperoleh maka eigenvector xk yang berpasangan dengan λλλλk ditentukan dari persamaan λλλλI A xk 0 Contoh. Nilai Contoh 2 Temukan nilai dan vektor eigen dari matriks. Tanda plus minus tergantung kepada tanda dari.

Contoh Soal Fungsi Eigen Studi Indonesia

Contoh Soal Nilai Eigen Dan Vektor Eigen Belajar

23 Contoh Soal Matriks Eigen Kumpulan Contoh Soal

Tentang Operator Fungsi Eigen Dan Nilai Eigen Ppt Download

Nilai Eigen Dan Fungsi Eigen Direktori File Xˆ J P Y K Relasi Komutator Tersebut Dapat Digabungkan Pdf Document

Komentar
Posting Komentar